Читать книгу 📗 Звезды: их рождение, жизнь и смерть - Шкловский Иосиф Самуилович
![]() |
![]() |
| Рис. 23.2: |
Важной особенностью излучения рентгеновских звезд является их переменность. Как правило, потоки рентгеновского излучения меняются. Эти вариации потоков носят довольно разнообразный характер. У отдельных источников наблюдаются очень быстрые изменения потоков, носящие неправильный характер. Например, у одного из наиболее ярких источников Лебедь Х-1 существенные изменения потока происходят за время меньше 0,001 с! Уже один этот факт говорит о том, что линейные размеры таких источников должны быть меньше 0,001 световой секунды, т. е. < 300 км (1/20 земного радиуса). По-видимому, в действительности они значительно меньше. Хорошо изучены вариации потока у самого яркого источника Скорпион Х-1. У этого источника таких быстрых изменений потока, как у источника Лебедь Х-1, не наблюдается. Он может излучать на более или менее постоянном уровне в течение нескольких дней. За это время как оптический, так и рентгеновский поток от него меняется в пределах 20%, причем вариации оптического и рентгеновского излучения не связаны. На это «спокойное» излучение накладываются отдельные «вспышки», длящиеся по нескольку часов. Вспышки охватывают как оптический, так и рентгеновский диапазон. Во время вспышек потоки меняются в 2—3 раза, причем среднее значение потоков в этой «активной» фазе раза в два больше, чем в спокойной. Никакой периодичности вспышек не обнаружено. Одновременные оптические и рентгеновские наблюдения показали, что во время вспышек рентгеновское излучение источника Скорпион Х-1 становится более «жестким» (т. е. в его спектре доля энергичных квантов растет), а оптическое излучение становится более «голубым». Если исходить из развитой выше модели этого источника как компактного плазменного облака, то следует предположить, что во время вспышек температура плазмы и ее средняя плотность растут. Последнее обстоятельство приводит к тому, что для оптического излучения плазма становится непрозрачной для более коротких волн, отчего спектр становится более «голубым» (закон Рэлея—Джинса!).
![]() |
| Рис. 23.3: |
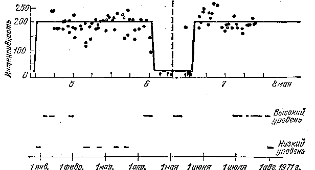
Пожалуй, самым выдающимся открытием, сделанным на «Ухуру», является обнаружение строгой периодичности вариации потока рентгеновского излучения от некоторых источников. Это открытие, как мы увидим дальше, дало ключ к пониманию природы рентгеновских звезд и для их «осмысленного» количественного исследования. До «Ухуру» исследования этих объектов носили характер бессистемного сбора наблюдательных данных. Суть открытия сводится к следующему.
Исследования вариаций потока от источника умеренной интенсивности Центавр Х-3 показали, что существуют два уровня излучения этого источника: «высокий» и «низкий». Когда уровень излучения «низкий», поток уменьшается раз в 10. Оба уровня излучения чередуются с удивительно точной периодичностью, равной 2,08707 дня. В течение этого периода источник наблюдается на «низком» уровне излучения около 0,5 суток (рис. 23.3). Объяснение такой строгой периодичности не представляет труда для астрономов. Рентгеновский источник Центавр Х-3 входит в состав двойной системы, причем плоскость орбиты наклонена под небольшим углом к лучу зрения. При движении рентгеновской компоненты этой двойной системы по своей орбите она будет периодически заходить за «нормальную» (т. е. «оптическую») компоненту, которая тем самым будет ее экранировать. По этой причине поток рентгеновского излучения на Земле резко уменьшится. Когда «затмение» рентгеновской звезды оптической закончится, первоначальный («высокий») уровень потока рентгеновского излучения восстановится. Аналогичное явление давно известно в оптической астрономии: речь идет о затменных переменных звездах, типичным представителем которых является знаменитая звезда Алголь.
![]() |
| Рис. 23.4: |
![]() |
| Рис. 23.5: |
Наряду с 2,08707-дневной периодичностью потока рентгеновского излучения от источника Центавр Х-3 была обнаружена и другая, гораздо менее тривиальная периодичность. Оказалось, что излучение этого источника носит характер периодических пульсаций, с периодом 4,84239 секунды! (рис. 23.4). В промежутках между такими очень короткими импульсами поток рентгеновского излучения уменьшается почти в 10 раз. Точные наблюдения показали, что сам период пульсаций плавно меняется с периодом 2,08707 дня по синусоидальному закону (рис. 23.5). Эти маленькие, но регулярные изменения периода пульсаций легко объясняются эффектом Доплера при орбитальном движении источника е постоянным периодом пульсаций. Это доказывается хотя бы тем наблюдаемым фактом, что скорость изменений периода пульсации обращается в нуль тогда, когда затмение достигает середины, т. е. когда направление орбитальной скорости рентгеновского источника перпендикулярно к лучу зрения (рис. 23.6). Из величины вариаций периода пульсаций, обусловленных орбитальным движением рентгеновской звезды, непосредственно, по известной формуле эффекта Доплера, находится значение орбитальной скорости, которая оказывается равной 415 км/с.
![]() |
| Рис. 23.6: |
Следует заметить, что часто «пульсирующая компонента» рентгеновского источника пропадает на несколько дней. В течение этого времени поток рентгеновского излучения от источника Центавр Х-3 уменьшается на порядок и становится примерно таким же, как при «затмениях», т. е. излучение источника остается на более или менее постоянном («низком») уровне. Затем короткие импульсы возобновляются без всякого сбоя в фазе. Эти сложные явления, по-видимому, связаны с механизмом самого рентгеновского излучения источника Центавр Х-3. Переход между двумя уровнями излучения происходит не резко, а длится около часа. В течение этого короткого «переходного» времени спектр становится значительно «жестче». Это указывает на наличие довольно протяженной атмосферы вокруг оптической компоненты двойной системы, которая, «находя» на рентгеновский источник, производит поглощение прежде, чем последний скроется за непрозрачным диском звезды. Длительность этой «переходной» стадии меняется, что указывает на нестационарность оболочки, окружающей оптическую звезду.
После нескольких неудачных попыток рентгеновский источник Центавр Х-3 был отождествлен со спектрально-двойной звездой 13-й величины. Эта звезда является переменной и обладает рядом особенностей. Основанием для такого отождествления послужило хорошее совпадение координат (в пределах 1






