Читать книгу 📗 "Послания и Знаки из Космоса - фон Дэникен Эрих"
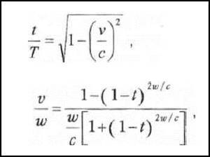
Скорость полета космического корабля можно вычислить по основному уравнению движения ракеты, выведенному профессором Аккеретом:
где V— скорость полета; w— скорость реактивной струи; с— скорость света; t— доля топлива в стартовой массе.

В момент, когда наш корабль начнет приближаться к звезде, являющейся целью полета, экипаж будет, несомненно, вычислять планеты, определять их координаты, измерять температуру с помощью спектрального анализа и рассчитывать орбиты. Наконец экипаж выберет для посадки планету, условия на которой будут максимально близки условиям на Земле. Если космический корабль после путешествия, длившегося, к примеру, 80 световых лет, будет состоять только из полезной нагрузки, поскольку вся энергия двигателя израсходуется, тогда экипажу придется на месте цели своего полета восполнить баки корабля расщепляемым материалом.
Предположим также, что выбранная для посадки планета похожа на Землю. Мы уже говорили, что такой вариант вполне возможен. Решимся также предположить, что цивилизация планеты, на которой прошла посадка, по своему развитию примерно соответствует Земле 8000 лет тому назад. Все это было определено измерительными приборами космического корабля задолго до посадки. Естественно, наши астронавты определили также место посадки, расположенное поблизости от месторождения расщепляемого материала: приборы быстро и достоверно показывают, в какой горной цепи можно найти уран.
Посадка прошла в штатном режиме.
Наши астронавты видят существ, которые затачивают каменные орудия труда; они видят, как те на охоте убивают дичь копьями для метания; в степи пасутся стада овец и коз; в примитивной гончарной мастерской изготавливают простые предметы домашнего обихода. В самом деле, странная картина для наших астронавтов!
Но что думают примитивные существа на этой планете о чудище, которое только что совершило посадку, и о фигурах, которые вышли из него? Давайте не забывать, что 8000 лет тому назад мы тоже еще были полудикарями. Будет вполне естественным, если полудикари, присутствующие при этом событии, падут ниц, не решаясь поднять глаза. До этого дня они молились Солнцу и Луне. И тут случилось что-то сверхъестественное: с неба спустились боги!
Из надежного укрытия аборигены планеты наблюдают за нашими астронавтами: у тех на головах странные головные уборы со стержнями (шлемы с антеннами). Они поражены, как светло стало ночью (прожекторы); они пугаются, когда чужаки без труда поднимаются в воздух (индивидуальные ракетные аппараты); они снова утыкаются головами в землю, когда с громом и гудением взлетают зловещие неизвестные «звери» (аппараты на воздушной подушке, многоцелевые транспортные средства), и наконец, под надежной сенью пещер их охватывает ужас, когда с гор раздаются устрашающие раскаты грома и гул (пробные взрывные работы). В самом деле, первобытным людям наши астронавты должны казаться всемогущими богами!
Тем временем астронавты продолжают тяжелый каждодневный труд. По всей вероятности, спустя некоторое время к астронавту, в котором первобытным инстинктом аборигены почуяли командира, приближается делегация жрецов или шаманов, чтобы установить контакт с богами. Они приносят дары, которыми хотят задобрить гостей. Вполне возможно, что наши люди к этому моменту с помощью компьютера уже выучили язык коренных жителей и могут поблагодарить за оказанную любезность. Между тем на их языке не удается объяснить, что с визитом прибыли вовсе не боги и не высшие, достойные поклонения существа. Они не верят этому, наши первобытные приятели. Астронавты прилетели с дальних звезд, явно обладают невиданной силой и способны творить чудеса. Конечно, они боги! Бессмысленно также заявлять о готовности оказать какую-либо помощь. Все это превосходит силу воображения подвергшихся ужасному нападению аборигенов.
Какими бы немыслимыми ни были события, происшедшие со дня посадки, в дневнике астронавтов могут быть еще и такие пункты:
• часть населения привлечена и обучена, для того чтобы в образовавшейся от взрыва воронке те помогали в поисках расщепляемого материала, который требуется для возвращения на Землю;
• самый умный из коренных жителей выбран «королем». В качестве явного знака своей власти он получил рацию, по которой в любой момент может связаться с «богами» и обратиться к ним;
• попытка привить аборигенам простейший цивилизованный образ жизни и некоторые понятия морали, чтобы тем самым обеспечить развитие некоего общественного строя.
Наша группа подвергается нападению другого «народа». Поскольку расщепляемого материала добыто недостаточно, нападающие после многочисленных предупреждений получают отпор с помощью современного оружия.
Несколько отобранных женщин беременеют от астронавтов. Так может возникнуть новая раса, которая минует часть естественной эволюции.
Исходя из нашего собственного развития, можно примерно подсчитать, сколько пройдет времени, пока эта новая раса займется освоением космоса. Поэтому перед обратным полетом на Землю можно оставить заметные и явные следы, которые будут поняты лишь намного позже технически развитым и имеющим математическую базу обществом.
Сомнительна по эффективности попытка предупредить наших подопечных о грядущих опасностях. Даже если мы покажем им самые страшные фильмы о войнах на Земле и об атомных взрывах, это также мало убережет существ на той планете от совершения глупостей, как это не мешает знающему (почти) все человечеству то и дело играть с всепожирающим пламенем войны.
После того как наш корабль вновь исчезнет в космической мгле, наши друзья будут обсуждать чудо. «Здесь были боги!» — они переведут эти слова на свой примитивный язык, сложат легенду, будут передавать ее сыновьям и дочерям и сделают священными реликвиями подарки, инструменты и все, что оставили астронавты.
Когда наши друзья овладеют письменностью, они запишут случившееся: жуткое, странное, исполненное чудес. Тогда можно будет прочитать — и это будет изображено на рисунках, — что здесь побывали боги в золотых одеяниях на летающей лодке, которая опустилась с ужасающим грохотом. Будут писать о колесницах, в которых боги ехали по морю и по степи, и о чудесном оружии, похожем на молнии, и будут рассказывать, что они хотели возвратиться.
Они вырубят и нацарапают на горной породе виденное однажды:
• бесформенных великанов, со шлемами и стержнями на головах, несущих на груди ящики;
• шары, на которых сидят и летят по воздуху не поддающиеся определению существа;
• жезлы, из которых, как из солнца, исходят лучи;
• устройства, своеобразные транспортные средства, похожие на насекомых.
Фантазии в графических изображениях, оставшихся после визита нашего космического корабля, безграничны. Позже мы увидим, какие следы начертали на скрижалях прошлого «боги», посетившие Землю в доисторические времена.
Ход развития на планете, которую посетил наш космический корабль, предсказать довольно просто: коренные жители многое подсмотрели и многому научились; место, на котором стоял космический корабль, объявят «священной землей», местом паломничества, где подвиги богов будут воспеваться в гимнах. На нем будут построены пирамиды и храмы — естественно, по законам астрономии. Население будет расти, будут происходить войны, которые разрушат место богов, и придут поколения, которые заново обнаружат священные места, расчистят их и попытаются растолковывать знаки.
Что произойдет далее, можно прочитать в наших учебниках истории…
Однако, чтобы добраться до исторической «правды», через лес вопросительных знаков нужно прорубить просеку, ведущую в наше прошлое.
Глава 3
