Читать книгу 📗 "Цветное телевидение?.. Это почти просто! - Айсберг Евгений Давыдович"
Согласно общей теории цепей сигнал Q, передаваемый с более узкой полосой пропускания (и, следовательно, контуром с меньшим затуханием), получает большую, чем сигнал I, задержку. Чтобы согласовать фазы сигналов перед их сложением, достаточно замедлить (с помощью линии задержки) приход сигнала I на разницу времени их прохождения.
При изучении характеристик системы NTSC мы увидим, что такая асимметрия боковых полос обычно вызывает искажение, известное под названием квадратурного дефекта, и характеризуется взаимными помехами между сигналами цветности, что можно сравнивать с перекрестными помехами на звуковых частотах; в этом же конкретном случае асимметрия устраняется в самом приемнике, и мы увидим, как это осуществляется (рис. 52).

Рис. 52. Упрощенная блок-схема кодирующего устройства системы NTSC.
Теперь наши синусоиды накладываются одна на другую и формируют поднесущую. К последней следует подмешать сигнал, обозначающий начало фаз. Как мы уже отмечали, модуляция по амплитуде производится с подавлением несущей. Поэтому для демодуляции передаваемых боковых полос необходимо в приемнике восстановить несущую; так как амплитудная модуляция осложняется фазовой модуляцией, приемнику необходимо также дать информацию о начале фаз. Для этого было решено во время обратного хода по строкам на уровне черного (между импульсом синхронизации и началом строки) передавать пакет из восьми периодов поднесущей, дающих информацию о фазе — (В — Y). В технической литературе этот сигнал идентификации фазы называется «вспышкой».
Перед тем как модулированная поднесущая накладывается на яркостный сигнал для получения полного телевизионного сигнала, следует опять уравнять время прохождения сигналов. Для этого достаточно создать для сигнала Y искусственную задержку (с помощью линии задержки), равную разнице во времени прохождения сигналов Q и Y. Таким образом на выходе кодирующего устройства получают три в высшей степени синхронные информации.
2. ДЕКОДИРОВАНИЕ
В приемнике полосовой фильтр выделяет поднесущую из сигнала яркости (рис. 53).

Рис. 53. Упрощенная блок-схема декодирующего устройства системы NTSC.
Пакеты сигналов для опознавания фазы поднесущей выделяются и используются для синхронизации восстановленной несущей, которая необходима для демодуляции.
Для этой цели используют генератор, стабилизированный кварцем, фаза которого с помощью кольцевого модулятора, собранного по схеме фазового дискриминатора, сравнивается с фазой сигналов синхронизации. Соответствующим образом отфильтрованный и усиленный сигнал ошибки используется для управления каскадом с реактивным сопротивлением в цепи обратной связи, чтобы согласовать фазу генератора с фазой сигналов синхронизации.
Таким образом, восстановленная несущая должна присутствовать с двумя различными фазами, отличающимися одна от другой на 90° (например, на первичной и вторичной обмотках трансформатора), а синхронная демодуляция поднесущей этими двумя волнами восстанавливает сигналы I и Q.
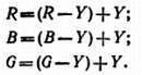
Фильтры нижних частот с полосой пропускания соответственно 1,3 и 0,6 Мгц пропускают от сигналов I и Q лишь нужную часть. После этого время прохождения обоих сигналов уравнивается с помощью линии задержки в канале I. Матрица (напомним, что этим термином обозначают совокупность схем, служащих для линейного смешивания нескольких электрических сигналов, иначе говоря, для сложения или вычитания этих сигналов) производит следующие операции, которые позволяют получить все три первоначальные составляющие цветности:

Сигнал Y освобождается от поднесущей режекторным фильтром, и линия задержки совмещает его во времени с сигналами I и Q. Теперь для получения трех первичных цветовых сигналов достаточно произвести в матрицах, состоящих из резисторов, следующие операции:

3. ТЕХНИЧЕСКИЕ ХАРАКТЕРИСТИКИ СИСТЕМЫ
Система NTSC может служить монументом, олицетворяющим находчивость и изобретательность. В 1953 г., когда были опубликованы первые описания системы, технические специалисты всего мира признали ее выдающимся достижением. К несчастью, в результате спешки, которая, кажется, была вызвана лишь конъюнктурными требованиями рынка, этой системе не дали достаточно времени, чтобы вызреть в лаборатории и пройти фундаментальные испытания до окончательного утверждения в качестве стандарта.
В результате этого оборудование для передачи сигналов по кабелю, передатчики, магнитные записывающие устройства и другая видеоаппаратура, а также и телевизоры имеют в верхней части спектра некоторое количество фазовых и амплитудных искажений, которыми, несомненно, можно без ущерба для качества пренебречь в черно-белом телевидении, но которые роковым образом сказываются на передаче цветов по системе NTSC. Рассмотрим очень кратко эти искажения.
а) Дифференциальное усиление
Мощный усилитель неизбежно обладает некоторой нелинейностью. По своей природе нелинейность может быть трех различных видов: искажение в результате насыщения, искажение вследствие среза и S-образное искажение; следовательно, поданный на вход усилителя пилообразный сигнал правильной формы получится на выходе искаженным.
Такой тип искажений не порождает особых неприятностей в черно-белом телевидении; он вносит некоторую ошибку градации тона, но не больше. Само собой разумеется, что при передаче цветного телевизионного сигнала по системе NTSC это приведет к нежелательному изменению амплитуды поднесущей.
Предположим, например, что синусоида малой, но постоянной амплитуды наложена на названный пилообразный сигнал; на выходе усилителя амплитуда этой поднесущей перестанет быть постоянной, а будет зависеть от мгновенного значения уровня яркостного сигнала (рис. 54).
Это явление, когда коэффициент усиления поднесущей является функцией мгновенного значения яркости, известно под названием дифференциального усиления; как мы помним, амплитуда поднесущей передает информацию о насыщенности цветов, следовательно, неизбежная нелинейность вызывает искажение насыщенности.

Рис. 54. Искажения сигнала пилообразной формы.
а — вследствие недостаточной линейности мощного усилителя пилообразный сигнал может претерпеть различные искажения: насыщение, срез, S-образное искажение;
б — этот же сигнал, модулированный синусоидальным напряжением, претерпевает такие же искажения. В результате изменяется амплитуда синусоиды.
б) Дифференциальная фаза
Входные и выходные реактивные сопротивления активных элементов (ламп или транзисторов), как известно, несколько изменяются в зависимости от места рабочей точки на динамической характеристике. Следовательно, возникает некоторый паразитный сдвиг фазы, определяемый местом нахождения рабочей точки.
Если воздействие этого сдвига фазы на яркостный сигнал ничтожно мало, то на графике цветности он смещает точки, символизирующие цвета, на различные углы в зависимости от соответствующего значения яркостного сигнала, а следовательно, вызывает искажение в воспроизведении цветовых тонов (рис. 55).
