Читать книгу 📗 "Электроника?.. Нет ничего проще! - Эймишен Жан-Поль"
Н. — Конечно из лампы.

Л. — Да, в значительной части. Раз потенциал катода снизился на Uпад, то соответственно снизилось и смещение.
Позволь напомнить тебе, что крутизна лампы 7 ма/в. Следовательно, анодный ток увеличится на: S х Uпад (крутизна лампы S = 0,007 a/в). Но ток в обозначенную пунктиром цепочку пойдет не только из этого источника. В самом деле, анодный ток лампы, несомненно, увеличился, но ток в R уменьшился, ибо Uвых снизилось: этот ток уже не 52 в/R, а (52 в — Uпад)/R, иначе говоря, проходящий по резистору R ток уменьшился на Uпад/R и этот ток тоже войдет составной частью в ток I = 2 ма, который я потребляю в нагрузке каскада. Следовательно, мы будем иметь:

подставив наши значения, получим:

откуда Uпад = 2:7,5 = 0,28 в.

Н. — Но это совсем мало!
Л. — Этим-то и интересна схема: она может выдавать ток на выходе без ощутимого снижения напряжения, иначе говоря, у нее низкое выходное внутреннее сопротивление.
Н. — А каково значение этого сопротивления?
Л. — Его очень просто рассчитать. Если ты потребляешь ток I от источника, то падение напряжения на его зажимах составит:
U = rвн·I
где rвн — внутреннее сопротивление источника. Следовательно, rвн = U/I или в нашем случае 0,28 в:0,002 а = 140 ом.
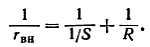
Лучше пользоваться формулой





Как видишь, внутреннее сопротивление катодного повторителя эквивалентно параллельно соединенным R и 1/S.
Н. — Довольно необычно рассматривать 1/S как сопротивление!
Л. — Не очень. Ведь S — крутизна, и, следовательно, она выражается в амперах на вольт (вернее в миллиамперах на вольт). А значит, обратная ей величина 1/S выражается в вольтах на ампер, а что мы получим, разделив вольты на амперы?

Просто-напросто омы. Например, в рассмотренном нами случае S = 7 ма/в, следовательно, 1/S = 1: 0,007 = 143 ом; как ты сам понимаешь, при параллельном включении резистора R = 5 ком он не оказывает сколько-нибудь заметного влияния, так как его сопротивление в 35 раз больше сопротивления другой ветви.
Как ты видишь, Незнайкин, наша схема катодного повторителя имеет внутреннее выходное сопротивление 140 ом, тогда как каскад обычного типа, например с анодной нагрузкой 20 ком, имел бы внутреннее выходное сопротивление от 5 до 10 ком, так как нужно учитывать внутреннее сопротивление лампы, которое при расчете выходного сопротивления должно рассматриваться включенным параллельно с сопротивлением анодной нагрузки.
Н. — Твои доводы я понял. Но я хочу задать один вопрос, который тебе, несомненно, покажется глупым: что ты выиграл от снижения выходного сопротивления своего каскада?
Л. — В твоем вопросе абсолютно нет ничего глупого. Я вновь все объясню, но скажи мне, пожалуйста, Незнайкин, зачем нужно тебе выходное напряжение?
Н. — Хм… да чтобы использовать его!
Л. — Совершенно верно. Однако «использовать» напряжение означает получать с его помощью ток. Если у источника напряжения (на выходе твоего усилителя) низкое внутреннее сопротивление, ты можешь забрать у него значительный ток без снижения напряжения.
Выходное напряжение, вырабатываемое источником с низким внутренним сопротивлением, мало чувствительно к различным помехам, как внешним, так и вызываемым изменением тока в цепи, подключенной к источнику. Так, например, в моей установке высококачественного воспроизведения звука насчитывается семь каскадов, собранных по схеме катодного повторителя. Один такой каскад установлен на самом выходе моего ЧМ-приемника; напряжение звуковой частоты (не более 1 в) поступает с источника, внутреннее сопротивление которого всего лишь 140 ом (а без этого каскада оно было бы не менее 10 ком). В этих условиях я могу позволить себе передавать низкочастотный сигнал по длинным проводам, например, к установленному на другой стороне дополнительному громкоговорителю. Их можно прокладывать рядом с трансформаторами питания, ибо провода, по которым идет низкочастотный сигнал, не «ухватят» никаких помех от сети 50 гц. Если бы, например, я захотел передать этот сигнал на сотню метров по экранированному проводу, то емкость провода из-за экрана составила бы около 10 000 пф.
А для самых высоких передаваемых частот (максимальная интересующая нас частота 20 кгц) реактивное сопротивление этого провода составляет около 800 ом. Для сигнала, поступающего от источника с внутренним сопротивлением 10 ком, эти 800 ом явились бы почти коротким замыканием, что привело бы к полной потере всех высоких частот и сильному искажению воспроизводимого звука. При моем же каскаде — катодном повторителе с его внутренним сопротивлением 140 ом эти 800 ом — можно просто не принимать во внимание: они внесут некоторый сдвиг фазы, ноне вызовут никакого ощутимого ослабления звука.

Н. — Да, но скажи мне… ведь твой каскад с катодной связью напряжения не усиливает?
Л. — Ты прав. Каскад с катодной связью не дает никакого усиления по напряжению (коэффициент усиления даже немного, меньше единицы), но «переписывает» входное напряжение, получаемое от генератора с очень большим внутренним сопротивлением, не способным давать большой ток; в результате мы получаем выходное напряжение, «обросшее мышцами», т. е. равное или почти равное входному напряжению, но в отличие от него способное давать значительный ток без ущерба для себя. Выходное напряжение стало «невозмутимым» — оно мало подвержено влиянию помех.


Н. — Совсем как мышь, ведущая слона на поводке!
Л. — Конечно, это очень модно! Только что в Булонском лесу я видел трех таких мышей, гуляющих со своими слонами!
Н. — Ты напрасно смеешься надо мной. Дай мне закончить, Любознайкин. Я вспомнил один цирковой номер, который мне однажды довелось видеть. Мышь бежала по бортику манежа и тащила тончайший поводок, завязанный на шее слона. А слон шел за мышью и старался удерживать без изменения натяжение поводка: шел быстрее, когда поводок натягивался, и замедлял шаг, если он провисал. Слон шел с такой же скоростью, что и мышь, но он даже не почувствовал бы препятствия, которое остановило бы его поводыря. Зрителям же казалось, что мышь тащит толстокожего ленивца, и они хохотали до упаду.