Читать книгу 📗 "Искусство схемотехники. Том 3 (Изд.4-е) - Хоровиц Пауль"

Рис. 13.53.
Заметьте, как емкость обратной связи поддерживает напряжение затвора на уровне порога отпирания во время переключения стока. Обратите внимание также на то, что нарастание сигнала стока изменяется экспоненциально, если Rc велико.
Простой способ расчета поведения схемы состоит в следующем:
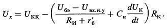
1. Рассчитывается скорость нарастания напряжения на коллекторе для «ограничения вследствие интегрирования» с использованием уравнения

где Uвх.н.у — низкий уровень входного напряжения.
2. Определяется коллекторное напряжение Ux, при котором выходное напряжение переходит от линейного нарастания к экспоненте из уравнения

С помощью этих двух уравнений можно вычислить форму переднего фронта коллекторного импульса и время нарастания. Если Ux окажется отрицательным, то это означает, что нарастание коллекторного напряжения носит чисто экспоненциальный характер: емкостная нагрузка преобладает и ток через емкость обратной связи вообще не возбуждает базу. Величина r'б обычно незначительна.
Упражнение 13.1. Выведите две предшествующие формулы. Указание: для вывода второй формулы приравняйте ток обратной связи, текущий в базу, к току коллекторного резистора за вычетом тока, ответвляющегося в емкостную нагрузку.
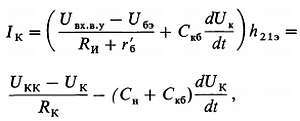
Определение времени спада. По истечении короткого времени задержки t3 после перехода входного сигнала в состояние высокого уровня Uвх.н. у коллекторное напряжение начинает падать к уровню насыщения транзистора. Произведя несложные расчеты, легко увидеть, что ток коллектора определяется выражением

где первое выражение — это ток базы, умноженной на h21э, а второе — ток коллектора, определяемый как ток через RK минус ток, отбираемый зарядом емкости, подключенной к коллектору.
Напоминаем, что dUK/dt отрицательно. После преобразования получим

где первый член в скобках соответствует току управления в цепи базы, умноженному на h21э, а второй — току через коллекторный резистор. Теперь вы можете попробовать рассчитать некоторые схемы; вы сможете определить времена нарастания и спада, а также какая емкость доминирует. Сначала, однако, рассмотрим времена рассасывания носителей и задержки.
Времена задержки и рассасывания носителей в базе. Обычно времена задержки очень малы. Главную роль играет постоянная времени, которая определяет снижение заряда емкости базы до Uбэ и равна в общем
Т ~ (Rи + r'б)(Скб + Сбэ).
При очень высоком быстродействии влияние постоянных времени транзисторных переходов может оказаться важным. Гораздо большую роль играет время рассасывания. У транзистора в насыщении заряд накапливается в области базы, и после того, как управляющий сигнал на базе становится близким к потенциалу земли (или даже отрицательным), требуется относительно длительное время, чтобы ранее инжектированные из эмиттера избыточные неосновные носители ушли из базы под действием тока коллектора. Транзисторы сильно отличаются друг от друга по времени рассасывания; это время можно сделать короче, если уменьшить ток базы во время насыщенного состояния и если при запирании подавать обратное смещение на базу, чтобы обеспечить обратный ток базы, когда транзистор переключается в состояние отсечки. Эти моменты отражены в уравнении для времени рассасывания tрасс:

где обратный ток базы Iб. выкл отрицателен при токах базы, обеспечивающих «разряд» заряда в базе. Коэффициент К определяется «временем жизни неосновных носителей», которое сильно уменьшается при легировании золотом. Однако такое легирование уменьшает h21э и увеличивает ток утечки. Этим объясняется высокое быстродействие ТТЛ, а также их низкое напряжение пробоя (порядка 7 В). Времена рассасывания могут быть очень большими и составлять несколько сотен наносекунд, что примерно на порядок превышает времена задержки при включении. Так, например, распространенный прибор общего назначения 2N3904 имеет максимальное время задержки 35 нc, а время рассасывания 200 нc при стандартных условиях проверки, когда на базу подается отрицательное смещение, равное падению напряжения на двух прямосмещенных диодах. Поскольку времена рассасывания существенно ограничивают быстродействие переключательных схем, приходится применять меры для решения проблемы насыщения.
Один из способов заключается в том, чтобы исключить вовсе состояние насыщения у транзистора. Включенный в обратную связь диод Шоттки («связь Ваker'a») между базой и коллектором прекрасно выполнит эту задачу, отбирая избыточный ток базы, когда транзистор близок к насыщению и потенциал коллектора ниже, чем у базы. Это предотвращает насыщение транзистора, так как напряжение прямосмещенного диода Шоттки меньше напряжения прямосмещенного перехода коллектор-база. Этот метод использован в ТТЛ-логических схемах с диодами Шоттки (ТТЛ-Ш). Часто небольшой «ускоряющий» конденсатор (25-100 пФ), параллельный резистору в цепи базы, хорошо дополняет этот прием, поскольку способствует уменьшению времени рассасывания, обеспечивая дополнительные импульсы тока, способствующие «разряду» базы, когда транзистор насыщен, а также быстрому нарастанию тока базы, когда транзистор включается. Эти схемы показаны на рис. 13.54.

Рис. 13.54. Схемы ключей с повышенным быстродействием. а — с диодом Шоттки; б — с ускоряющим конденсатором.
13.24. Устройства аналогового моделирования
Очевидно, что проектирование как высокочастотных усилителей, так и быстродействующих ключей, сложная тема, особенно при полном наборе эффектов, вызываемых присущими им паразитными емкостями и индуктивностями. Наши упрощенные модели дают возможность хорошо прочувствовать схему, но они часто могут быть неадекватными, если вы попытаетесь выжать максимально удовлетворительные характеристики из усилителей, например, в области ГГц. Традиционное приближение состоит из сочетания более сложного моделирования (подкрепленное значительными расчетами!) и большого количества макетных плат.
Приятные разработки получаются с использованием уже развитых систем автоматического аналогового моделирования, в частности программы, называемой "SPICE" и ее некоторых коммерческих расширений. SPICE (автор L. W. Nagel) моделирует работу вашего опытного варианта схемы (используя библиотеку усложненных моделей элементов), предсказывает коэффициент усиления, искажения, шумы, частотный отклик и т. д. Вы можете попросить систему показать форму сигнала (напряжения и тока) в любой точке схемы — компьютерный осциллограф! Таким образом, вы можете проигрывать различные варианты вашей гипотетической схемы, увеличить быстродействие конденсаторов, проводить испытания элементов, делать замены в схеме и т. д. Фактически, при хорошем моделировании можно исследовать влияние допустимых отклонений параметров элементов путем либо обычного анализа сбоев, либо проводя более сложную статистическую обработку методом «Монте-Карло». Некоторые программы моделирования выполняют также анализ «чувствительности», который указывает вам элементы, в наибольшей степени определяющие характеристики схемы.
