Читать книгу 📗 "Искусство схемотехники. Том 3 (Изд.4-е) - Хоровиц Пауль"
Программы автоматического моделирования недороги и приспособлены для настольных компьютеров так же как и для любой большой вычислительной системы (например, IsSpice фирмы Intusoft или PSpice Microsim). Наибольшее признание получили таблицы соединений ("netlist") — продукт программ создания чертежа схемы ("Schematic capture") (разд. 12.08). Программы моделирования не ограничены проектированием высокочастотных схем. Они применимы и к моделям операционных усилителей, цифровых схем и внутренностей самой ИМС. Хотя SPICE пока доминирует, но уже появилось около дюжины программ моделирования, оптимизированных под конкретные применения.
Несколько примеров бустродействующих переключательных схем
В этом разделе мы проанализируем работу нескольких простых схем, в основе которых лежат только что обсуждаемые методы.
13.25. Высоковольтный усилитель
Начнем со схемы, изображенной на рис. 13.55.

Это простой инвертирующий каскад, предназначенный для возбуждения пьезоэлектрического кристалла импульсами 100 В, первоначально генерируемыми ТТЛ-логикой. Параметры выхода ТТЛ и, следовательно, сигнала, подаваемого на базу, приблизительно равны указанным на рисунке величинам. В этих расчетах мы не будем учитывать r'б, которое мало по сравнению с сопротивлением источника.
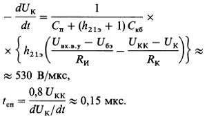
Время нарастания. Начнем с определения скорости роста коллекторного напряжения на выходе из-за «интегрирования»:

Теперь найдем напряжение на коллекторе, при котором процесс напряжения на выходе из линейного переходит к экспоненте:

Это означает, что нарастание коллекторного импульса происходит только экспоненциально, так как ток обратной связи (CкбdUК/dt) недостаточен, чтобы задержать переход базы в состояние проводимости, задаваемое состоянием источника. Постоянная времени для коллекторной цепи равна RК(Сн + Скб), или 0,33 мкс, а время нарастания (по уровню от 10 до 90 %) равно 2,2 постоянной времени, т. е. 0,73 мкс. Отсюда ясно, что преобладающим в нарастании оказывается влияние коллекторного сопротивления и ёмкости нагрузки.
Время спада. Для анализа спада используем формулу, полученную ранее, и найдем:

Последний член зависит от UK, но он незначителен по сравнению с первым членом в скобках. Если это не так, то вам придется оценивать эту величину при нескольких значениях коллекторного напряжения, чтобы получить правильную картину формы спада. Здесь следует отметить, что рассчитанное время спада соответствует частоте около 3 МГц и, следовательно, используемая нами величина h21э = 100 вполне реальна (fT = 300 МГц).
Если рассчитанное время нарастания или время спада соответствует частоте более высокой, чем предполагалось первоначально, то необходимо вернуться и пересчитать время переходного процесса с новым h21э, полученным из первой оценки времени переключения. Этот метод последовательных приближений обычно дает удовлетворительный ответ уже на втором этапе.
Форма выходного импульса. Для этой схемы форма коллекторного сигнала соответствует приведенной на рис. 13.56.

Рис. 13.56.
На положительном фронте преобладает влияние постоянной времени ёмкости нагрузки и коллекторного сопротивления, в то время как на спаде больше сказывается ёмкость обратной связи в сочетании с сопротивлением источника. Другими словами, напряжение на коллекторе падает с такой скоростью, что ток через ёмкость обратной связи почти достаточен, чтобы подавить отпирающий ток базы и вывести базу из состояния проводимости.
В наших допущениях мы всюду считали, что фронты импульса на выходе ТТЛ много короче, чем на выходе нашей схемы. Обычно времена нарастания и спада ТТЛ равны ~ 5 нc, что соответствует нашему предположению.
13.26. Усилитель с «открытым коллектором» при работе на шину
Предположим, мы хотим организовать с помощью схем с открытым коллектором управление шиной ТТЛ с выхода nМОП-схемы. Это можно осуществить, используя n-p-n-инвертирующий каскад, как показано на рис. 13.57.

nМОП-прибор, работающий от 4–5 В (см. разд. 9.09), имеет малую нагрузочную способность, поэтому необходимо, чтобы резистор базы был велик. Для того, чтобы подчеркнуть эффекты, связанные с наличием параметров, подобных Скб, мы выбрали два очень распространенных транзистора.
Время нарастания рассчитывается по приведенной выше методике. Для линейного нарастания вследствие интегрирования имеем:

Выбор транзистора. Ситуация видна из рис. 13.58.

Рис. 13.58.
Параметры, полученные для 2N5137, полностью определяются действием емкости обратной связи, усиливающимся из-за относительно высокого сопротивления источника сигнала. Переходные процессы для 2N4124, вероятно, оценены чуть-чуть оптимистично, поскольку они соответствуют частоте около 10 МГц, при которой h21э, скорее всего, несколько ниже предполагаемого значения.
Интересно измерить время достижения напряжения порога ТТЛ (~1,3 В) как основной параметр системы с запуском вентилей ТТЛ шинными сигналами. Если не учитывать времена рассасывания и задержки, то времена достижения порогов ТТЛ будут следующие:

Времена нарастания и спада, измеренные нами, находятся в разумном согласии с предсказанными по нашей несколько упрощенной модели, за исключением, пожалуй, лишь времени нарастания для 2N4124. Имеется несколько возможных объяснений, почему рассчитанное время нарастания в этом случае получилось слишком малым. В расчетах значение h21э бралось при 10 МГц, в то время как время нарастания 17 нс не соответствует более высоким частотам и, следовательно, более низким значениям h21э. Кроме того, практические измерения для этого транзистора дают Скб = 2,2 нФ при 10 В и Скб = 3 пФ при 2 В. Любопытно, что использовавшийся нами 2N5137 имел реально гораздо меньшее значение Скб (~5 пФ), чем указанное в паспорте, и поэтому нам пришлось добавить небольшой конденсатор в схему, чтобы «довести» Скб до «паспортной величины». Это, скорее всего, означает, что технологический процесс изменился уже после публикации данных о параметрах транзистора.
